Skip to content
Mero Enotes
Upload Note
Menu
Pokhara University
BCA
BE Computer
BBA
BE Civil
Class 11
Class 11 Physics
Class 11 Biology
Class 11 MCQ
Class 12
Class 12 Physics
Class 12 Chemistry
Class 12 Biology
BLOG
About US
Pokhara University
BCA
BE Computer
BBA
BE Civil
Class 11
Class 11 Physics
Class 11 Biology
Class 11 MCQ
Class 12
Class 12 Physics
Class 12 Chemistry
Class 12 Biology
BLOG
About US
Upload Notes
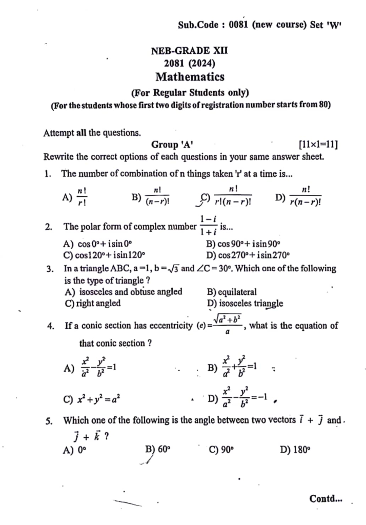
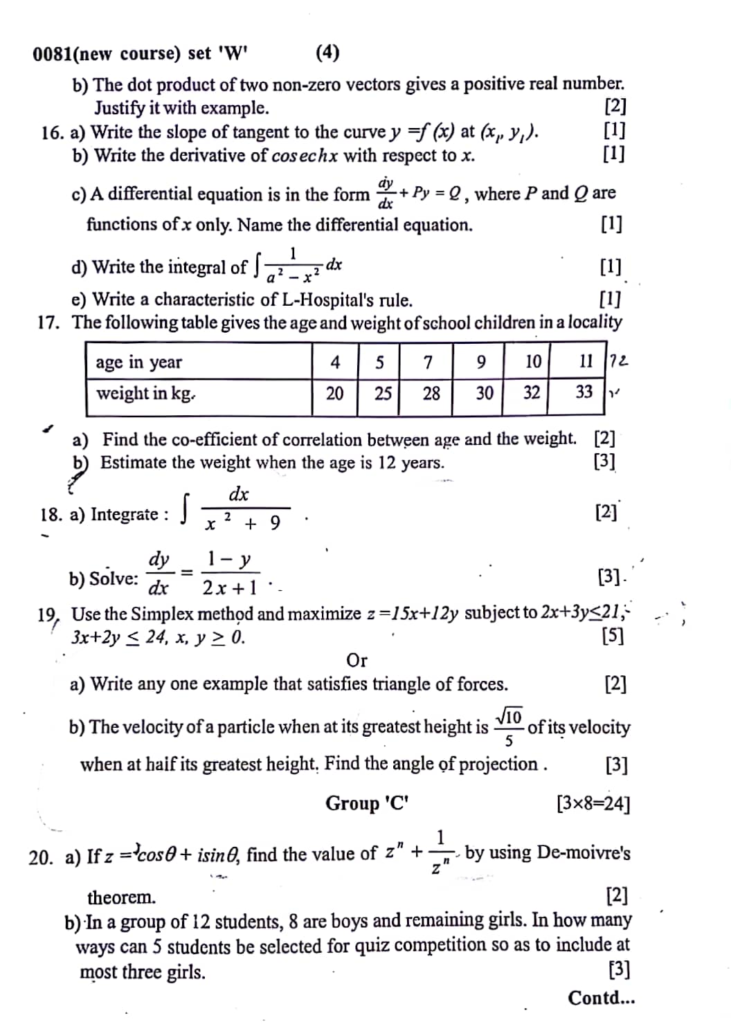
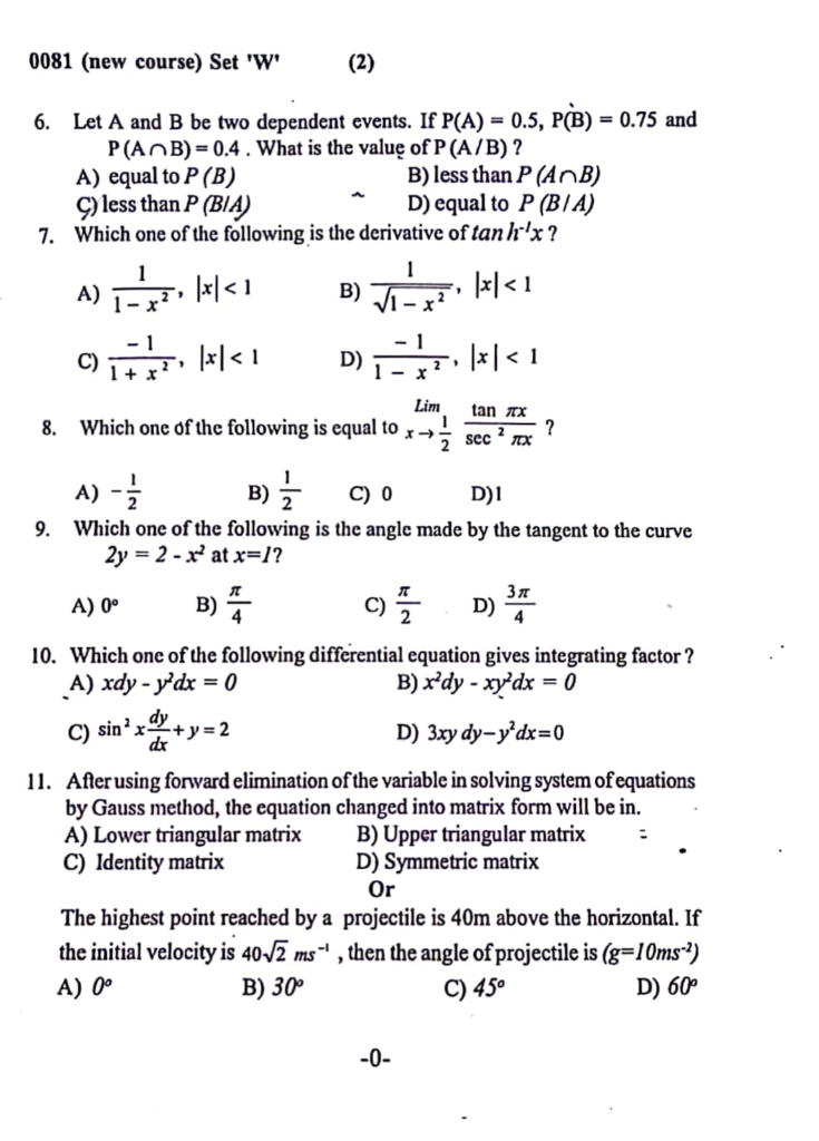
NEB Grade 12 Math Question Paper (2081) New Course
26 August 2024
by
Mero Enotes
Post Views:
315